Упр.11.4 ГДЗ Мордковича 10 класс профильный уровень (Алгебра)
Решение #1
Решение #2(записки учителя)
Решение #3(записки школьника)

Рассмотрим вариант решения задания из учебника Мордкович, Семенов 10 класс, Мнемозина:
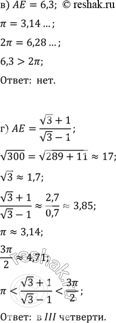
Можно ли найти на единичной окружности точку E с указанной ниже длиной дуги AE? Если да, то укажите четверть, в которой расположена точка E:
а) AE = 2; в) AE = 6,3;
*размещая тексты в комментариях ниже, вы автоматически соглашаетесь с пользовательским соглашением