Упр.8.12 ГДЗ Мордковича 10 класс профильный уровень (Алгебра)
Решение #1
Решение #2(записки учителя)
Решение #3(записки школьника)

Рассмотрим вариант решения задания из учебника Мордкович, Семенов 10 класс, Мнемозина:
Пусть функция у = f(x) возрастает на R. Решите:
а) уравнение f(3x + 2) = f(4x2 + x);
б) неравенство f(3x + 2) < f(4x2 + x);
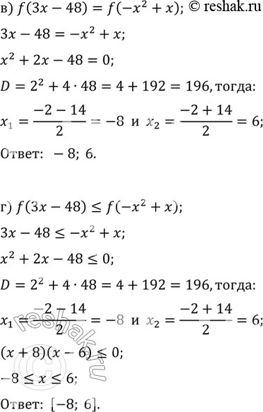
в) уравнение f(3x - 48) = f(-X2 + x);
г) неравенство f(3x - 48) < f(-X2 + x).
*размещая тексты в комментариях ниже, вы автоматически соглашаетесь с пользовательским соглашением