Упр.15.18 ГДЗ Мордковича 10 класс профильный уровень (Алгебра)
Решение #1
Решение #2(записки учителя)
Решение #3(записки школьника)

Рассмотрим вариант решения задания из учебника Мордкович, Семенов 10 класс, Мнемозина:
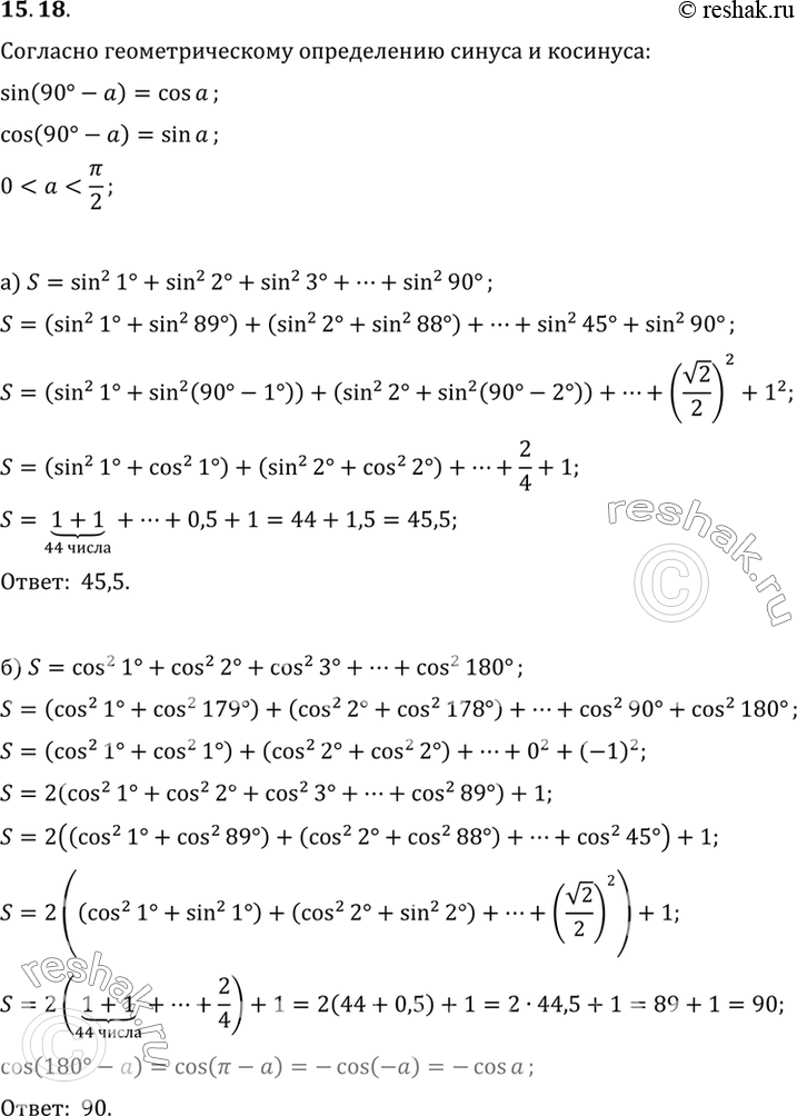
a) sin21° + sin2 2° + sin2 3° +)... + sin2 90°;
6) cos21° + cos2 2° + cos2 3° +)... + cos2180°.
*размещая тексты в комментариях ниже, вы автоматически соглашаетесь с пользовательским соглашением